
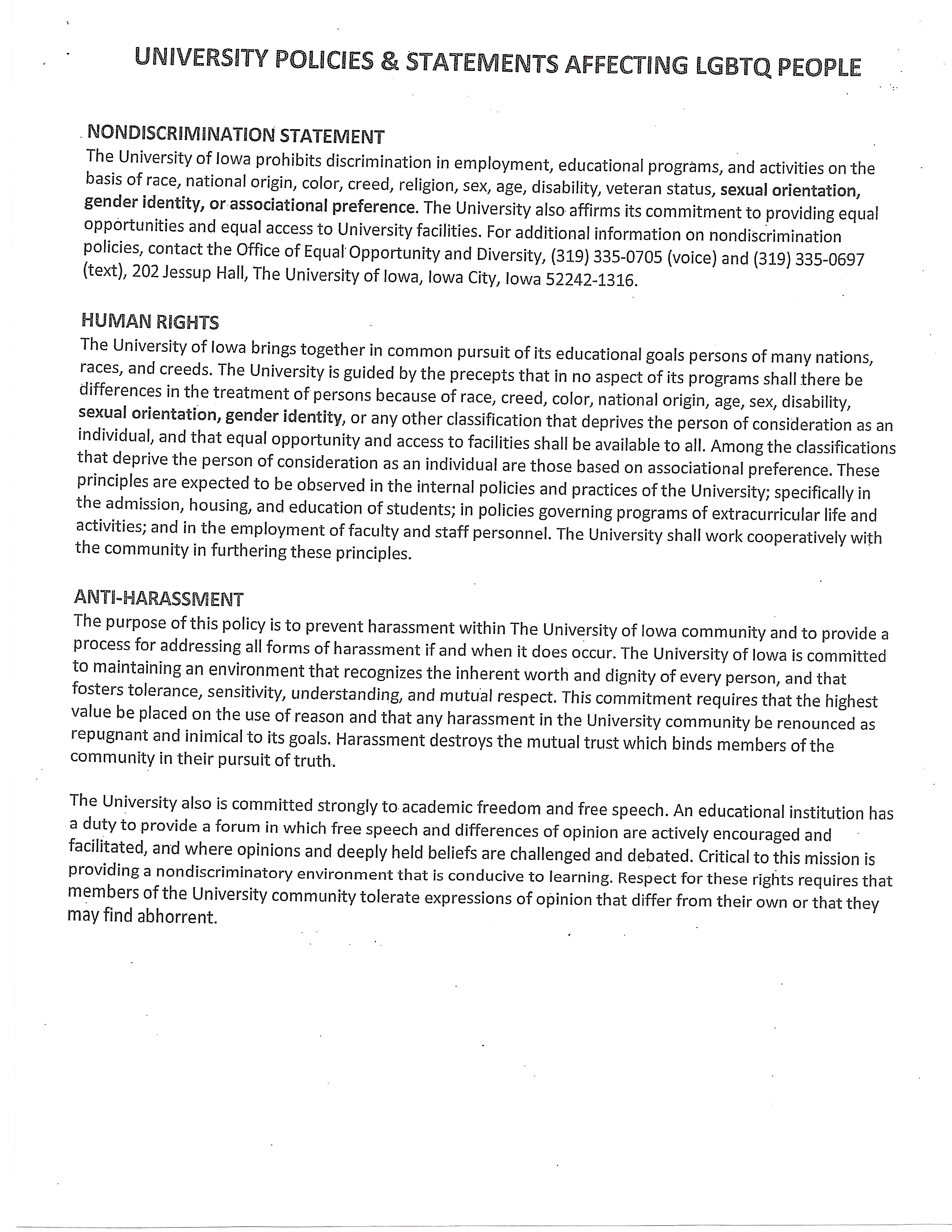
THE LIBRARY
THE LIBRARY

Welcome to the Library
Welcome to the Library
Here you will find a host of resources sorted by topic that you may find helpful or simply interesting. Below are general resources.
211 United Way: 211.org or 1-800-233-4357
National Domestic Violence Hotline: 1- 800-799-7233
National Suicide Prevention Lifeline: 1-800-273-TALK (8255)
National Hopeline Network: 1-800-SUICIDE (800-784-2433)
Lifeline Crisis Chat (Online)
Crisis Text Line: Text "START" TO 741-741
Self-Harm Hotline: 1-800-DONT CUT (1-800-366-8288) also Selfinjury.com
Planned Parenthood Hotline: 1-800-230-PLAN (7526)
American Association of Poison Control Centers: 1-800-222-1222
Substance Abuse and Mental Health Service Administration: 1-800-622-4357
LGBT Hotline: 1-888-843-4564
TREVOR Crisis Hotline: 1-866-488-7386
AIDS Crisis Line: 1-800-448-0440 or HRSA
Veterans Crisis Line: https://www.veteranscrisisline.net
Suicide Prevention Wiki: http://suicideprevention.wikia.com
POLITICAL RESOURCES
Your Elected Officials
Understand State and Local Government
Find and contact your elected officials
Register to vote Iowa - Illinois
Get ballot ready and vote
BLACK LIVES MATTER
Understanding Systemic Racism and White Privilege
Sign petition at change.org
Join and/or donate to organizations or movements such as NAACP or Black Lives Matter both nationally and locally.
Here are other Top Black Organizations and Non-Profits
Educate yourself and others. See the section below titled "Multiculturalism and Social Justice" anti-racism resources and MFT resources
Take and encourage others to complete the Implicit Bias Test
Use hashtags #wearedonedying #blacklivesmatter #blackouttuesday #protectblacklives #investincommunities #defundpolice #stopdisinformation
Your Elected Officials
Understand State and Local Government
Find and contact your elected officials
Get ballot ready and vote
Managing Police Encounters
10 Rules when Dealing with Police
Youtube Flex Your Rights
COVID-19 Resources and Information
Money stress and mental health: 5 ways to cope
Find Government information and resources by phone
COVID-19 Cases, deaths, recoveries...
COVID-19 Support Resources, IOWA
State of Illinois COVID-19 Response
Coronavirus Government Information
Squatch’s Social Distancing Guide
Protecting Your Family if you Work Outside the Home
Multiculturalism and Social Justice
Thomas Jefferson Descendants Come Together
When is it the Right Time for Black People to Protest
A Black Man Goes Undercover in the Alt-right
How to Overcome Your Bias? Walk Bodlly Toward Them
"How A Theory Of Crime And Policing Was Born, And Went Terribly Wrong" by NPR Hidden Brain
"How to Overcome Our Bias. Walk Boldly Toward Them" a TED Talk
"In The Air We Breathe" by NPR Hidden Brain
"Rap on Trial: How An Aspiring Musician's Words Led To Prison Time" by NPR Hidden Brain
Can Black Lives Matter & Law Enforcement See Eye To Eye?
Brown Eyed Blue Eyed Experiment
Improving your Self-Regulation
Podcast
"Five Strategies to Manage Intense Emotions & Why Emotional Regulation Matters" by Therapist Uncensored (synopsis)
"Building Grit Through Self Compassion" by Therapist Uncensored
"The Gift of Emotional Courage" by TED
"The "Swiss Army Knife" Of Health: A Good Night's Sleep" by NPR
"Eckhart Tolle: Free Yourself From Anxiety, Stress and Unhappiness" Oprah Supersoul Conversation
Websites
Attachment
Website
Podcast
159 "Preoccupied in Relationships: Signs and Solutions to Anxious Attachment by Therapist Uncensored
158 "Dismissing/Avoidant Attachment" by Therapist Uncensored
160 "Disorganized Attachment" by Therapist Uncensored
57 "How We Come to Define Ourselves, Attachment Research Over Decades with Guest Alan Sroufe" by Therapist Uncensored
"Creature Comforts: The Power Of Touch And Affection In Our Lives" by NPR Hidden Brain
Effects of Trauma
Podcasts
"The Scarcity Trap: Why We Keep Digging When We're Stuck In A Hole" by NPR Hidden Brain
Marriage
Podcasts
"When Did Marriage Become So Hard" by NPR Hidden Brain
"Rethinking infidelity...a talk for anyone who has ever loved" by Esther Perel; TED
"The secret to desire in a long-term relationship" by Esther Perel; TED
Books
"Intimacy and Desire: Awaken the Passion in your Relationship" by Dr. David Schnarch
Divorce
Divorce
Article
Strategic Planning for Divorce Mediation
Support Groups
Other Helpful Suggests
Meetup (for social interaction)
United Way (get involved, volunteer)
Parenting
Parenting
Podcast
"Attachment Parenting versus the Science of Attachment, Clearing up Misconceptions" by Therapist Uncensored
Website
Spiritual
“At the heart of each religion is the principle....words are meant to transmit meaning; we should keep the meaning and forget the words.” - John Bowker
Spiritual
“At the heart of each religion is the principle....words are meant to transmit meaning; we should keep the meaning and forget the words.” - John Bowker
Podcast
"Creating God" by NPR
"Phil Jackson: The Soul of Success" by Oprah’s SuperSoul Conversations
"Stillness Speaks" by Eckhart Tolle
Books
"The Way"
Political Literature
Political Literature
Health
Health
Social Development
Social Development
Suggestions
Spend time around people
Volunteer to meet like minded people
Join social media groups that interest you
Explore events at your local community center
Join a club, group or organization you like
Start a conversation (small talk) with everyone
Reintroduce your self at the end of the conversation
Accept and attend all invitations
Ask other people to do things
Keep friends by being a good friend